한국화재연구소
고온의 연기배출시 닥트의 마찰손실 변화 본문
설계시 덕트 마찰손실 계산은 연기밀도를 20°C 1.2 kg/m³를 기준으로 계산합니다.
연기온도를 기준으로 계산하지 않는 이유는 20°C 온도가 가장 보수적인 결과를 나타내기 때문이며, 다양한 조건의 화재에 대해 연기온도를 일률적으로 예측하기 어렵기 때문입니다. 다음은 유체가 관로를 흐를 때 마찰손실을 계산하기 위한 달시웨버 방정식입니다.


달시웨버 방정식에서 유체의 밀도가 작아지면 마찰손실은 오히려 작아집니다. 반대로 레이놀즈수(Re)는 동점성계수는 커지고 밀도는 작아져 감소하여 마찰계수는 커지지만 그 영향이 밀도변화보다 작아 결과적으로 고온의 연기는 상온의 공기에 비해 마찰손실이 더 감소합니다.
[공기의 물성표]

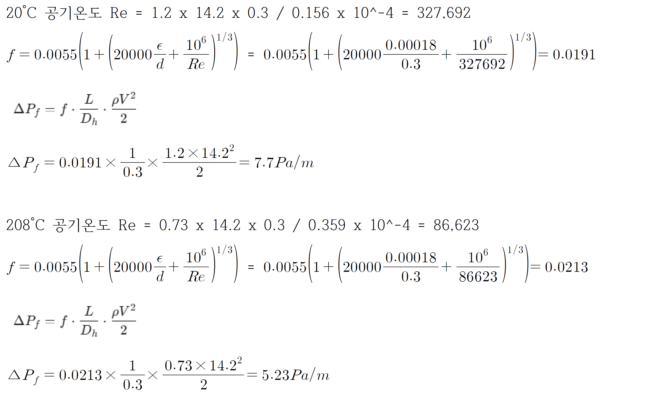
ex) 직경 0.3 m 인 아연도 강판 원형 닥트에 풍량 1 m3/s 가 흐르고 있다. 이때 닥트길이 10 m 의 압력손실은 얼마인가? (아연도 강판닥트의 상대조도 는 0.18 mm 이다.) 이때 압력손실을 공기온도 20도씨와 208도씨 각각 계산 할 것.

결론
공기의 온도가 높을 수록 단위길이당 마찰손실이 더 작아진다.
'연기제어' 카테고리의 다른 글
| 연기발생량을 계산해보자 (0) | 2025.09.09 |
|---|---|
| 대공간(아트리움,몰)의 연기제어 (0) | 2025.09.04 |
| 특별피난계단 제연의 역사적 배경 (1) | 2025.08.21 |
| 거실제연설비 화재실내에 강제급기구 설치시 연기유동 (0) | 2025.08.19 |
| 방연풍속은 연기유입을 얼마만큼 막을 수 있는가 (0) | 2025.08.07 |